Talk:BA Fynn Wawrzyniak

From Arbeitsgruppe Kuiper
Revision as of 16:39, 15 May 2024 by Fynn.W (talk | contribs) (Problem "Jet")
Jump to navigation Jump to search

ConsToPrim(): p(E) < 0

Hilf ein Absenken des initialen Zeitschritts? --Lothar (talk) 07:53, 26 April 2024 (CEST)


Es scheint, dass das Absenken des initialen Zeitschritts nicht hilft. Ich habe einfach mal die logs für verschiedene Einstellung des initialen Zeitschritts beigefügt.

Für \( dt=10^{-10} \)

> Starting computation... 

step:0; t = 0.0000e+00; dt = 1.0000e-10; 0.0 %
        [Mach = 49.994517]
! ConsToPrim(): p(E) < 0 (-2.34e-05),   @step = 66 (stage = 1); [i,j = 2, 73], [x1,x2 =  0.000001, 2.246239]
! ConsToPrim(): p(E) < 0 (-1.27e-05),   @step = 66 (stage = 1); [i,j = 2, 74], [x1,x2 =  0.000001, 2.277655]

Für \( dt=10^{-15} \)

> Starting computation... 

step:0; t = 0.0000e+00; dt = 1.0000e-15; 0.0 %
        [Mach = 49.994517]
step:100; t = 1.3780e-10; dt = 1.3781e-11; 0.0 %
          [Mach = 49.995660]
! ConsToPrim(): p(E) < 0 (-3.49e-06),   @step = 186 (stage = 2); [i,j = 2, 73], [x1,x2 =  0.000001, 2.246239]
! ConsToPrim(): p(E) < 0 (-1.84e-06),   @step = 187 (stage = 1); [i,j = 2, 72], [x1,x2 =  0.000001, 2.214823]


Für \( dt=10^{-20} \)

> Starting computation... 

step:0; t = 0.0000e+00; dt = 1.0000e-20; 0.0 %
        [Mach = 49.994517]
step:100; t = 1.3780e-15; dt = 1.3781e-16; 0.0 %
          [Mach = 49.994517]
step:200; t = 1.8991e-11; dt = 1.8991e-12; 0.0 %
          [Mach = 49.994517]
step:300; t = 1.3811e-07; dt = 5.1143e-09; 0.0 %
          [Mach = 57.016462]
! ConsToPrim(): p(E) < 0 (-7.80e-06),   @step = 307 (stage = 1); [i,j = 2, 73], [x1,x2 =  0.000001, 2.246239]
! ConsToPrim(): p(E) < 0 (-8.17e-06),   @step = 307 (stage = 2); [i,j = 2, 73], [x1,x2 =  0.000001, 2.246239]

--Fynn.W (talk) 09:51, 26 April 2024 (CEST)

Aha, die Schrittweitensteuerung fährt den Zeitschritt wieder rauf (klar), macht ihn dabei aber zu groß. Die Grenze scheint bei \(10^{-11}\) zu liegen. --Lothar (talk) 09:59, 26 April 2024 (CEST)
Die Ausgabe [Mach =... ist das Maximum über alle Zellen? --Lothar (talk) 10:28, 26 April 2024 (CEST)
So wie es aussieht handelt es sich um die Maximale Mach Zahl --Fynn.W (talk) 14:58, 26 April 2024 (CEST)

Problem "Jet"

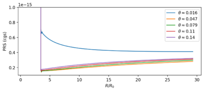
Fig. 1: Plot des Druck-Feldes über Theta und R, Darstellung in cgs-Einheiten. Für Mach 25

Für größere Mach Zahlen sind in Druck und Dichte Feld ein "Jet" (Shaghayegh) zu erkennen (s. Fig. 1). Der Fehler tritt nur an der X2-Boundary auf, welche in der 'pluto.ini' als 'axisymmetric' definiert wird.

Für das Feld in Fig. 1 wurde auch der minimale Druck aus der 'Restrictions.conf' entfernt, welcher zuvor auf den Wert 1e-16 (in cgs-Einheiten) festgelegt wurde, um die Fehler zu Beginn der Simulation vermeiden zu können. Ich habe diesen Entfernt, weil der unterschied des Minimalen Drucks in der Simulation dem in 'Restrictions.conf sehr ähnlich wurde.

Um zu überprüfen ob die Einstellung des minimalen Drucks eine Auswirkung auf den "Jet" hat, habe ich die selbe Simulation mit einem Minimalen Druck von 1e-17 (cgs) druchgeführt. Das Ergebnis ist das selbe. Wenn ich allerdings Versuche den Druck noch kleiner einzustellen treten die Fehler von zuvor wieder auf (ConsToPrim(): p(E) < 0).

Fig. 2: Plots für unterschiedliche Theta über R. Selbe Daten wie in Fig. 1

Ich habe auch einmal den Druck in den Zellen für verschiedene Theta geplottet (Fig. 2). Dabei erkennt man, dass die innersten Zellen (\( \theta \approx 0.016 \)) sich vom Verlaufen stark von dass Nachbarn unterscheiden.