File:MAES-Cells250x167DensityProfileGravitationalPotentialProfile.png
Jump to navigation
Jump to search
Size of this preview: 800 × 569 pixels. Other resolution: 1,376 × 978 pixels.
Original file (1,376 × 978 pixels, file size: 163 KB, MIME type: image/png)
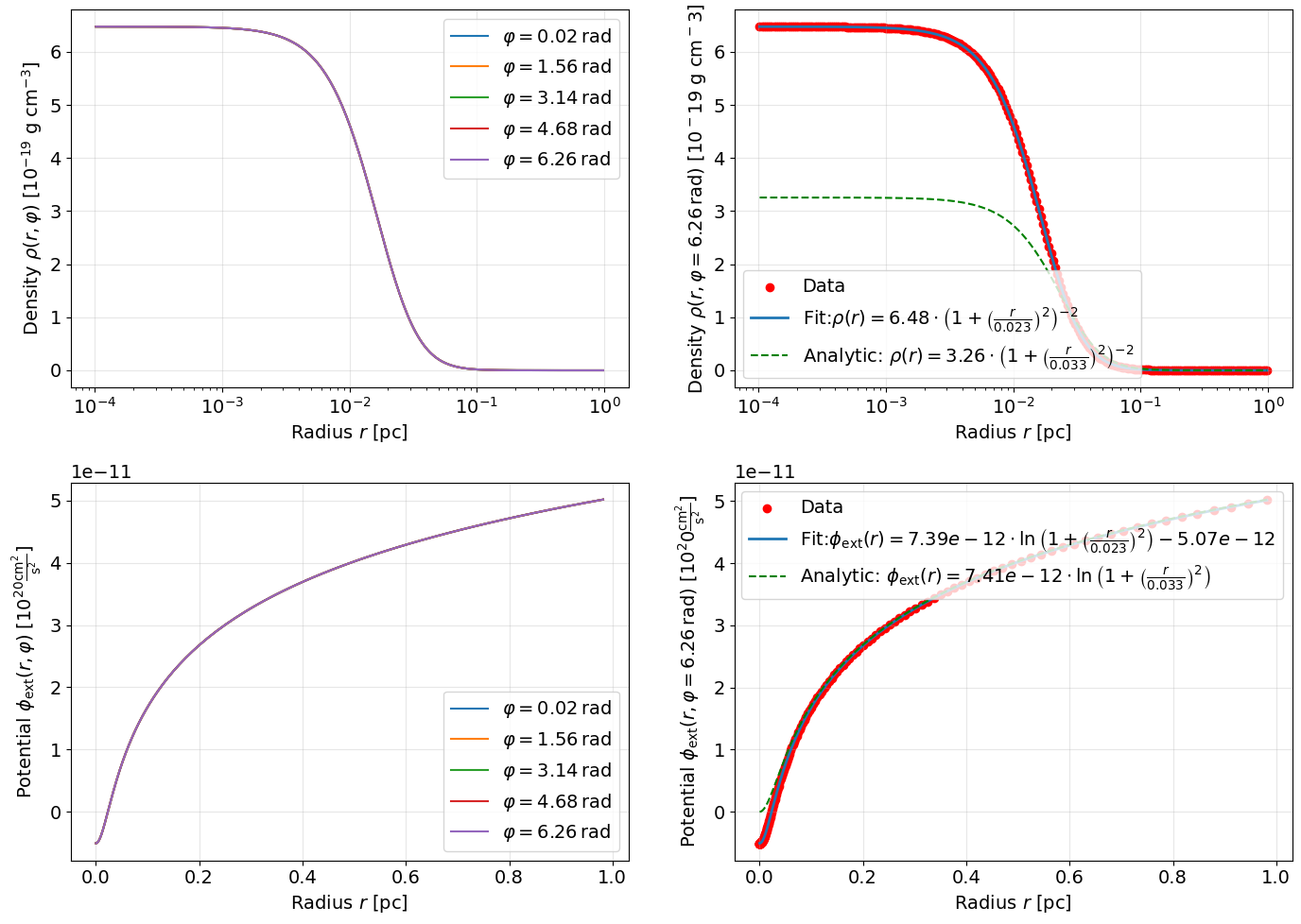
Radiale Profile der konvergierten 2D-Simulation für verschiedene Azimutalwinkel: Dichte \(\rho(r,\varphi)\) (oben links) und Gravitationspotential \(\phi_{\mathrm{ext}}(r,\varphi)\) (unten links). Rechts sind die Profile exemplarisch für einen Winkel nahe \(\varphi \approx 2\pi\) zusammen mit einem Fit und der analytischen Referenzlösung dargestellt (oben: \(\rho\), unten: \(\phi_{\mathrm{ext}}\)).
File history
Click on a date/time to view the file as it appeared at that time.
| Date/Time | Thumbnail | Dimensions | User | Comment | |
|---|---|---|---|---|---|
| current | 19:05, 9 January 2026 | 1,376 × 978 (163 KB) | Emilio.S (talk | contribs) |
You cannot overwrite this file.
File usage
The following page uses this file: